BASIC YELLOW 57

Product Category: 
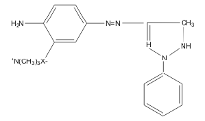
Chemical Structure: 
Molecular Weight: 
68391-31-1
Formula: 
-
Melting Point: 
C19 H22 N5 OX
Assay: 
-
Packing: 
-
Appearnace: 
-