BASIC RED 76

Product Category: 
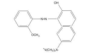
Chemical Structure: 
CAS # : 
68391-30-0
Molecular Weight: 
-
Formula: 
C20 H22 N3 O2 X
Melting Point: 
-
Assay: 
-
Packing: 
10 / 20 Kg. F/D
Appearnace: 
Red Powder