BASIC BROWN 17

Product Category: 
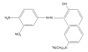
Chemical Structure: 
Molecular Weight: 
68391-32-2
Formula: 
-
Melting Point: 
C9 H20 N5 O3X
Assay: 
-
Packing: 
10 / 20 F/D
Appearnace: 
-