BASIC BROWN -16

Product Category: 
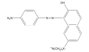
Chemical Structure: 
CAS # : 
26381-41-9
Molecular Weight: 
-
Formula: 
C9 H21 N4 OX
Melting Point: 
-
Assay: 
-
Packing: 
-
Appearnace: 
-